How You Are Going to Die
Most people will die a death before their heart stops beating. If you no longer think clearly, or think like you could in mid-adulthood, have you died a cognitive death?
I had a frank conversation with my mum.
She just turned 70.
She's a retired doctor of 40 years service and sometimes we talk shop. It can be quite direct.
"I don't think I'll see 80", she said.
I nodded. It's probably true.
We have no choice in the time or place of our death.
But we do have a choice about how we approach the grave.
And you can start making that choice now.
“The art of dying is the art of living. The honesty and grace of the years of life that are ending is the real measure of how we die. It is not in the last weeks or days that we compose the message that will be remembered, but in all the decades that proceeded them. Who has lived in dignity, dies in dignity.” ― Sherwin B. Nuland
Research shows that most people know when they are in the last year of their life.
With this feeling comes a sense of urgency to make the most of that time.
But what if you have that realisation, but are too frail to do the things you are dying to do?
(Excuse the pun but I had to lighten this up).
The Liminal Decade
"Liminal":
- occupying a position at, or on both sides of, a boundary or threshold."I was in the liminal space between past and present."
- relating to a transitional or initial stage of a process."that liminal period when a child is old enough to begin following basic rules but is still too young to do so consistently."

The word liminal has a Latin origin from "limen" or "limin", which means "threshold".
It's why the word "subliminal" means below the threshold of consciousness.
The Liminal Decade is the last 10 years of your life.
Like my mum, most people will know when they are entering it.
My question to you is - what do you want to be able to do in your last 10 years of life?
Here's my list:
- run
- swim
- lift weights
- write, read and create
- carry my grandkids around
- get up off the floor on my own
- travel anywhere I want by plane/train/car/hypershuttle (it is the future after all)
All pretty basic right?
I'm sure most of us can do all the things on list no problem (except hypershuttle).
In fact, you probably take all these for granted. I did.
But if you want to have dignity and autonomy in the last years of your life, you need to start practicing these things.
And you need to start now.
The Decline
There is a big difference between lifespan and healthspan.
Lifespan is how many years you live.
Healthspan is how long you can maintain these 3 things:
- Cognition - how your brain works
- Physical - how your body works
- Emotional - how you deal with stress and distress
Your healthspan starts to decline surprisingly early.
Here are the 100m world records by age:

From 30 years onwards we get slower.
It's no surprise old people are slow, because that's the first thing to go.
The same is true with strength:

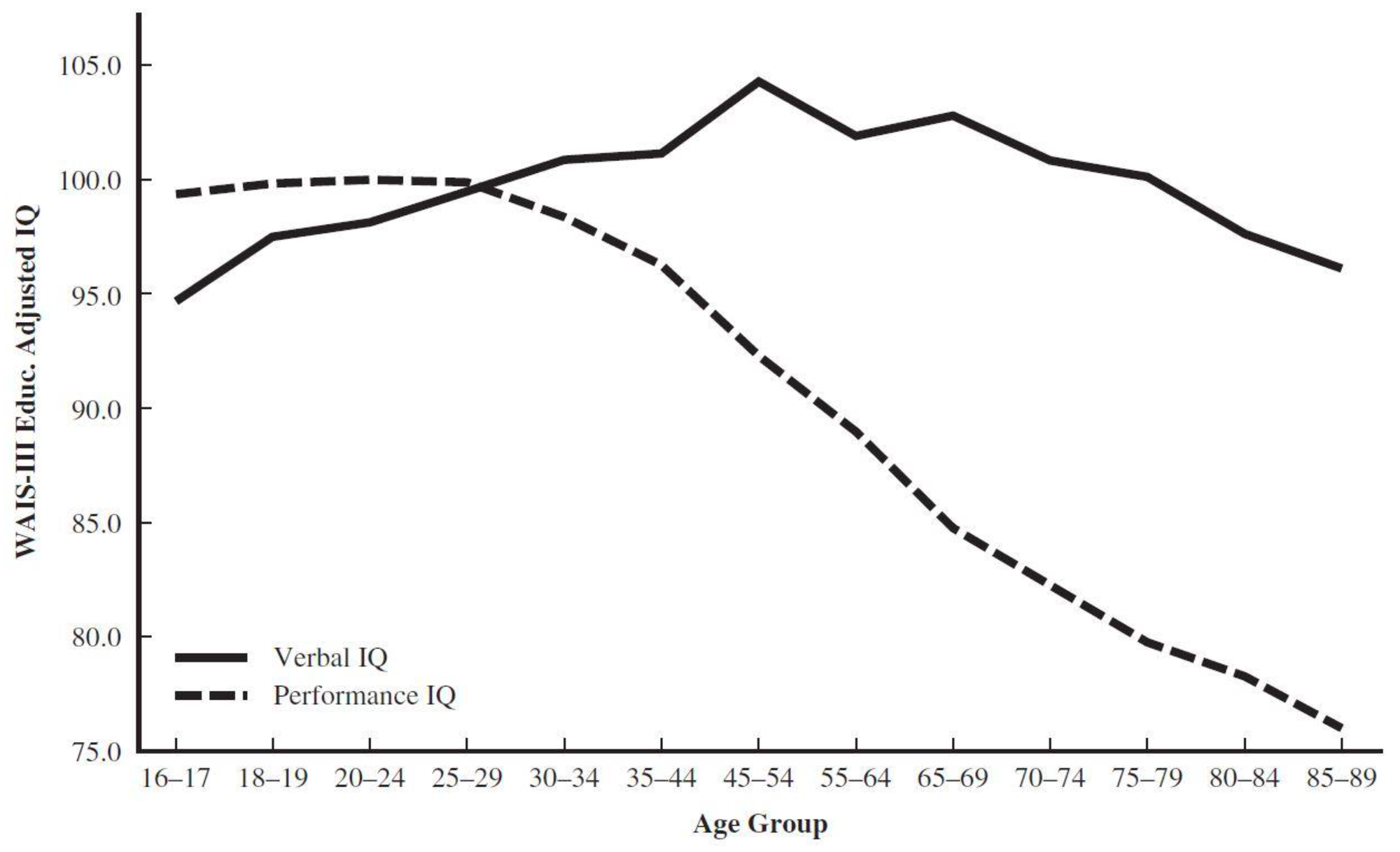
Looking at IQ, we still maintain verbal IQ into our 70s, but our ability to solve new problems drops from our 30s onwards.
(This data is from a paper on cognition in federal judges, who are appointed for life. It's pretty worrying. They can still talk the talk, but what they are saying may not be not based on reason.)

The problem is, the loss of these skills creeps up on us.
I can catch a flight easily now, so I'll be able to do the same when I'm older, right?
Well if I slowly lose strength without noticing it, I won't be able to lift a cabin bag over my head when I'm 70.
I can write my thoughts out with ease now (thanks for reading them), but if I don't keep this up, I'll stare blankly at the page when I'm older.
Most people will die a healthspan death before their heart stops beating.
If you no longer think clearly, or think like you could in mid-adulthood, have you died a cognitive death?
Here's what I do now to ensure (as much as I can) my Liminal Decade is on my terms:
- jog once a week
- write every day
- take my kids swimming
- lift and carry weights twice a week
- stretch on the floor for 10 minutes at night
All this takes me about 5 hours.
That's 3% of all the 168 hours I get a week.
And it's the biggest return on time investment I make.
How do you want to live in your liminal decade?
What are you doing now to invest in your healthspan?
It doesn't have to be complicated and it doesn't have to take long.
Pick things up and carry them around.
Get up off the floor.
Write, read and learn.
Have fun and keep it light.
Here's to the independent, clear-thinking, resilient future you.
See you next week.